INFO PERMOHONAN KEMASUKAN SEKOLAH KAWALAN 2020 TINGKATAN 1. 962018 Syarat Permohonan Sekolah Kawalan Perak 2019 Antara syarat-syarat permohonan kemasukan ke Tingkatan Satu Sekolah Kawalan Negeri Perak seperti.
Semakan Keputusan Sekolah Kawalan 2021 Secara Online
Sedia maklum pengambilan murid baharu Sekolah Kawalan Tingkatan 1 2021 adalah melalui permohonan secara borang manual yang diedarkan di sekolah atau melalui JPN masing-masing.

Borang sekolah kawalan. 982020 Permohonan kemasukan ke Sekolah Kawalan Kementerian Pendidikan Malaysia KPM bagi pengambilan sesi 2021 akan dibuka kepada semua pelajar tahun 6 yang berkelayakan dan telah menduduki peperiksaan UPSR 2020 serta berminat untuk menyambung pelajaran mereka ke Tingkatan 1 di Sekolah Kawalan Kementerian Pendidikan Malaysia. Sebarang pertanyaan lanjut berkenaan dengan keputusan ataupun rayuan sekolah kawalan boleh hubungi Jabatan Pendidikan Negeri. Berdasarkan pengetahuan penulis Borang permohonan kemasukan ke Sekolah Kawalan Kementerian Pendidikan Malaysia KPM bagi tingkatan 1 ambilan tahun 2020 akan diedarkan oleh pihak sekolah bermula pada pertengahan bulan September awal Oktober atau selepas keputusan UPSR 2019.
Pdf Borang Pengesahan Pelaksanaan Kerja Bagi Perkhidmatan Kawalan Keselamatan KPM. 1 Borang Pengesahan Pelaksanaan Perkhidmatan Kawalan Keselamatan PKK Perkhidmatan Kebersihan Bangunan Dan Kawasan KBK Dan Perkhidmatan Bekalan Makanan Bermasak BMB Di SekolahInstitusi Pendidikan Di. 2192019 pdf Borang Tuntutan Skim Takaful Pelajar Sekolah Malaysia.
Kota setar aa3 sekolah. 1152014 borang kawalan peperiksaan smk asajaya no2 maklumat peperiksaan 2013 1 2 3 4 5 6 7 8 9 10 11 12 13 14 jenis peperiksaan tingkatan subjek kod subjek tarikh mas. Pengisian borang permohonan Sekolah Kawalan 2019 boleh dibuat oleh ibu bapa atau penjaga dalam bulan September 2019.
Semakan Tawaran Sekolah Kawalan 2021 KRK KAA SMKA SABK Online. Tarikh borang permohonan diedarkan adalah bergantung kepada pengurusan sekolah anak masing-masing. Pautan Laman Sistem Aplikasi Borang Permohonan Sekolah Kawalan Online Tahun Sebelumnya.
Permohonan Sekolah Kawalan 2021 SMKA SABK KAA KRK Permohonan Sekolah Kawalan 2021. Oleh itupermohonan kemasukan tingkatan 1 ke sekolah kawalan bagi sesi 2020 hendaklah dibuat melalui borang manual yang diedarkan oleh sekolah rendah atau pun JPN negeri masing-masing. SABK Kelas Aliran Agama KAA dan Kelas Rancangan Khas KRK.
Cara Membuat Permohonan Sekolah Kawalan Tingkatan 1 Tahun Sebelumnya. Permohonan sekolah kawalan 2019 pengambilan sekolah menengah Tingkatan 1 hanya boleh dilakukan melalui sistem borang yang telah disediakan oleh Kementerian Pendidikan Malaysia KPM MOE secara manual. Kepada mereka yang masih tidak tahu sekolah kawalan merupakan sekolah.
Pdf Borang Permohonan Surat Tiada Halangan Untuk Mengikuti Pengajian Ke Luar Negara. Sebelum ini borang manual permohonan Sekolah Kawalan Menengah Tingkatan 1 tahun 2019 tersebut telah diedarkan oleh pihak sekolah kepada murid-murid darjah 6 yang layak dan berminat dengan pendidikan sekolah kawalan. Bppa pkk 5a sekolah borang pengesahan pelaksanaan perkhidmatan dan pengurusan pengawal bagi perkhidmatan kawalan keselamatan di sekolah di bawah kementerian pendidikan malaysia tarikh hari.
Semakan senarai permohonan sekolah kawalan tingkatan 1 2021 untuk penempatan Kemasukan Tingkatan 1 melalui sistem online publicmoegovmy termasuk kemasukan sekolah agama smka Permohonan secara online bagi sesi ambilan Januari 2021 pada minggu pertama bulan September. Ibu bapa dan penjaga yang telah mengemukakan permohonan kemasukan ke Sekolah Kawalan Tingkatan 1 Kementerian Pendidikan Malaysia KPM untuk anak jagaan masing-masing bagi sesi pengambilan tahun 2021 boleh membuat semakan status keputusan permohonan dan tawaran serta penempatan. Pada pengambilan murid baharu Sekolah Kawalan Tingkatan 1 tahun 2020 adalah melalui permohonan secara borang.
Pelajar hanya perlu mengisi maklumat pencapaian ko-kurikulum pencapaian akademik dan mengisi pilihan permohonan. Tarikh borang permohonan dikeluarkan diedarkan adalah bergantung kepada pengurusan sekolah anak masing-masing. Permohonan ke sekolah kawalan tidak lagi boleh dilakukan secara online.
Berdasarkan pengetahuan penulis borang permohonan kemasukan ke sekolah kawalan kementerian pendidikan malaysia kpm bagi tingkatan 1 ambilan tahun 2020 akan diedarkan oleh pihak sekolah bermula pada pertengahan bulan september awal oktober atau selepas keputusan upsr 2019 diumumkan secara rasmi. Tarikh yang tepat boleh dirujuk ke Jabatan Pendidikan Negeri masing-masing kerana tarikh adalah berbeza bagi setiap negeri. Sekolah Rancangan Khas Negeri RKN dan Sekolah Rancangan Khas Daerah RKD i.
Semakan kemasukkan ke Tingkatan 1 Maahad Kawalan boleh dibuat melalui butang Semakan di atas. Tarikh Permohonan Sekolah Kawalan Menengah 2021 Ditutup. 12302018 Permohonan kemasukan ke Sekolah Kawalan Kementerian Pendidikan Malaysia KPM bagi pengambilan sesi 2020 akan dibuka kepada semua pelajar tahun 6 yang berkelayakan dan telah menduduki peperiksaan UPSR 2019 serta berminat untuk menyambung pelajaran mereka ke Tingkatan 1 di Sekolah Kawalan Kementerian Pendidikan Malaysia.
Telah menduduki Ujian Penilaian Sekolah Rendah UPSR pada tahun 2017 iii. Tiada lagi sistem permohonan secara online untuk tahun ini.
Permohonan Tingkatan 1 Sekolah Kawalan Putrajaya 2021 Smka Kaa
Mudah Mengajar 50 Idea Ganjaran X2f Rewards Dalam Kelas Panduan Rewards 50th 21st
Mengadap Sekolah Teres Setingkat Iskandar Perdana Untuk Dijual Lokasi Rumah Mengadap Padang Sekolah Iskandar Perdana Dan Tidak Bertentang Rumah Sekolah Ipoh
Permohonan Sekolah Kawalan 2021 Smka Sabk Kaa Krk Online
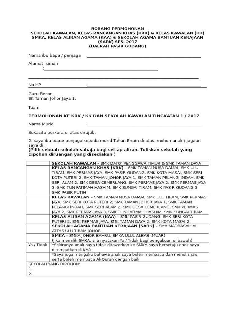
Borang Permohonan Sekolah Kawalan
Palsukan Gaji Malas Isi Borang Cubaan Ibu Bapa Bolot Bantuan Sekolah Anak In 2021 Mala
Ejen Hartanah Perak Hartanah Freehold Dan Leasehold Freehold Dan Real
Permohonan Sekolah Kawalan 2021 Smka Kaa Sabk Krk
Borang Permohonan Sekolah Kawalan
Ejen Hartanah Perak Mrtt Real Estate Real
Pin By Pepsjawasolo Peps On Borang Pkpb In 2020
My Chess Life Cerdik Catur Collaborated Chess Chess Collaboration Life
Rumah Teres Setingkat Di Taman Gemilang Seri Iskandar Untuk Dijual Lokasi Rumah Memang Dekat Dengan Masjid Kolej Professional Mara Uitm Rumah Taman Ipoh
Notis Sekolah Rendah Agama Integrasi Seksyen 19 Shah Alam פייסבוק

